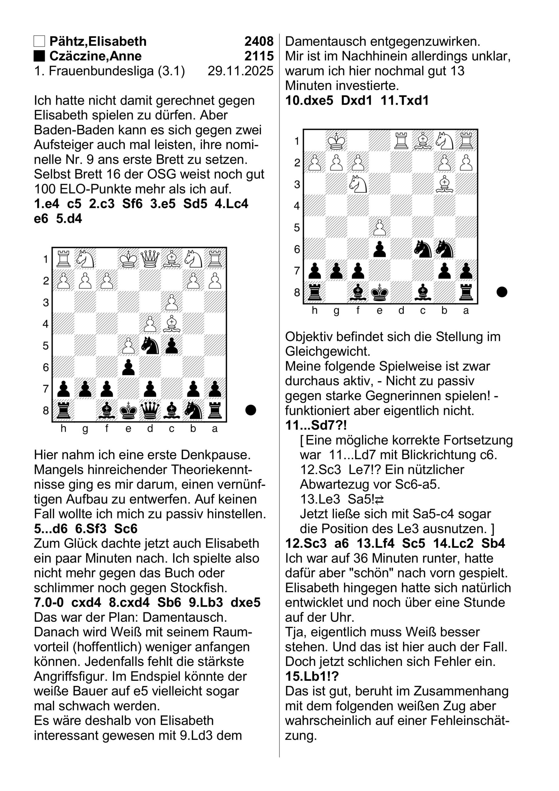
von Anne
Lang ist‘s her – Deutsche Fraueneinzelmeisterschaft 1999 in Chemnitz. Die erst 14-jährige Elisabeth Pähtz wurde erstmals Deutsche Meisterin der Frauen. Bis heute ein Rekord. Damals war es nur zu erahnen, welch dominierende Rolle Elisabeth in den nächsten Jahr(zehnt)en im deutschen Frauenschach einnehmen würde.
Auch ich durfte an diesem Turnier teilnehmen, war aber an 30 (von 30) gesetzt. Mit meinen finalen 4 aus 9 konnte ich sehr zufrieden sein. Zum Aufeinandertreffen mit Elisabeth Pähtz kam es natürlich aufgrund des großen Leistungsunterschieds nicht. Wer erkennt die jugendlich coole Elli auf dem Foto (und vielleicht sogar mich)?
Nun, 26 Jahre später, spielten wir unsere erste Partie mit klassischer Bedenkzeit: Berlin, 29.11.2025, 1. Frauenbundesliga, Brett 1. GM Päthz mit kugeligem Babybauch, ich mit meinen zwei Töchtern als Mannschaftskameradinnen. Die Zeit rennt. Und dann, wenn man es gar nicht mehr erwartet, hält sie plötzlich das schachliche Highlight schlechthin bereit. Jedenfalls für mich.
Eine Partie, die ich für immer im Gedächtnis behalten werde. Ganz besonders schön war es, dass wir gegen den Titelanwärter OSG Baden Baden noch einen weiteren Brettpunkt holten. Elina Heutling gewann an Brett 2 gegen IM Mai Narva. Diese Euphorie nahmen wir mit in den nächsten Tag. Am Sonntag ging es gegen den Mitaufsteiger SK Freiburg-Zähringen 1887. Die gute Stimmung und der Optimismus sollten sich auszahlen. Wir gewannen 5 zu 1 und holten unsere ersten beiden Mannschaftspunkte in der 1. Frauenbundesliga. Besser kann ein Wochenende gar nicht laufen.
Dass es mit dem Frauenschach in Chemnitz voran geht, ist auch an den Erfolgen der letzten Jahre im Mädchenschachbereich zu sehen, unter anderem der Gewinn der DVM u16w 2024. Auch der Aufstieg in die 1. Frauenbundesliga wäre ohne unsere Nachwuchsspielerinnen nicht möglich gewesen. Mit einem Altersdurchschnitt von 21 Jahren (gegen Baden-Baden) sind wir die jüngste Mannschaft der Staffel. Klar, dass wir noch einiges vorhaben.
So richten wir am 22. und 23.08.2026 das erste internationale Frauen-Team-Schnellschachturnier in Chemnitz aus, den Chemnitzer Schach Cup – Schwarz-weiß und bunt. Dabei sehen wir Schach nicht nur als Wettkampf sondern auch als Kulturgut. Wir möchten die Werte des Schachs wie Toleranz, Chancengleichheit und gegenseitiger Respekt stärken. An dieser Stelle gebührt besonderer Dank der Emanuel Lasker Gesellschaft für die Anregungen und die Unterstützung. Ohne diese Unterstützung wären für uns solch spannende Projekte nicht möglich. So konnten wir im Sommer 2025 zur Feier unseres Bundeligaaufstiegs Elisabeth Pähtz erst zum Grillen und dann zum Simultan bei uns begrüßen. Und damit schließt sich der Kreis.
(Auflösung zum ersten Foto: Elisabeth Pähtz erste von rechts, Anne Czäczine neunte von rechts)







